√70以上 y=a(1+r)^t solve for t 278213-What is y=a(1+r)^t
Solve for t A=P(1r/n)^(nt) Rewrite the equation as Divide each term by and simplify Tap for more steps Divide each term in by Cancel the common factor of Tap for more steps Cancel the common factor Divide by Take the natural logarithm of both sides of the equation to remove the variable from the exponentFavorite Answer The equation isn't as you've written it, it is y = A (1 r)^t When you have that, just plug in the values = 000 (1 015)^t = 085^t Log of both sidesY = A(1 – r)^t (the ^ is an important distinction, meaning "to the power of" t, whereas as you have the equation written right now, it says "divided" by t) So these are the variables we know A =
2
What is y=a(1+r)^t
What is y=a(1+r)^t-Solving it we get r = 1=3 as a repeated root, so the general solution is given by y(t) = c 1e t=3 c 2te t=3 Q 8) Find the general solution to 16y00 24y0 9y = 0 Answer The characteristic equation is 16r2 24r 9 = 0;Given the literal formula t = a (n – 1) d, find the value of d when t = 10, a = 2, n = 5 Solution First make d the subject of the formula and substitute the values d = (t – a)/ (n – 1) Now, substitute the values of t, n and a d = (10 – 2)/ (5 – 1) = 8/4 = 2 Example 5 Solve for R in the following literal equation S = 3R 5RZ



Hw 5 Sols Pdf Chapter 22 Initial Value Problems Problem 1 Solve The Following Problem Over The Interval From X 0 To 1 Using A Step Size Of 0 25 Course Hero
Solve your math problems using our free math solver with stepbystep solutions Our math solver supports basic math, prealgebra, algebra, trigonometry, calculus and more Remember that the characteristic eq is r 2 − 3 r − 4 = 0 which has two roots r 1 = − 1, r 2 = 4 If y = A e − t,The function is of the form y = a(1 r)t, where 1 r > 1, so it represents exponential growth Use the growth factor 1 r to fi nd the rate of growth 1 r = 107 Write an equation Solve for r = 007 r So, the function represents exponential growth and the rate of growth is 7% b9r2 6r 1 = 0;
Solve your math problems using our free math solver with stepbystep solutions Our math solver supports basic math, prealgebra, algebra, trigonometry, calculus and moreY = a ( 1 r k) k t, where k is the number of times the interest is compounded per year So, plugging in your information gives y = 3750 ( 1 06 12) 132 = $ Share answered Jan 15 '15 at 129 onetoinfinity onetoinfinity 435 2P 0 = (1r)tP (t) Where P0 is the current value, P (t) is the future value, r is the rate, and t is time This is useful if you want to see what initial investment is needed today to reach a future state with a known time and growth rate
The Van 't Hoff equation relates the change in the equilibrium constant, K eq, of a chemical reaction to the change in temperature, T, given the standard enthalpy change, ΔH ⊖, for the processIt was proposed by Dutch chemist Jacobus Henricus van 't Hoff in 14 in his book Études de dynamique chimique (Studies in Dynamic Chemistry) This equation is sometimes also referred to as theLeast Common Multiple (t1) • (3t2) Calculating Multipliers 42 Calculate multipliers for the two fractions Denote the Least Common Multiple by LCM Denote the Left Multiplier by Left_M Denote the Right Multiplier by Right_M Denote the Left Deniminator by L_Deno Denote the Right Multiplier by R_Deno Left_M = LCM / L_Deno = 3t2R = 007 and b = 1 r = 1 ( − 007) = 093 and the initial population is a = 5000 The exponential decay function is y = 5000(093)t To find when the population will be 3000, substitute y = 3000 3000 = 5000(093)t Next, divide both sides by 5000 to isolate the exponential expression



Can U Solve Q 18 It Y A Jog T Hen Prove That 17 R Sin Sin I Math Continuity And Differentiability Meritnation Com



The Following Code Solves The Advection Equation Chegg Com
We substitute x= 0 and t= 1 4, in which case 4t= 1, and so 1 p ˇ Z 1 1 y2 e y2 dy= 1 2 Consequently, Z 1 1 x2e x2 dx= p ˇ 2 Exercise 2 (The fundamental solution of the heat equation on R2) Recall that the function S(x;t) = p1 4ˇkt e x 2 4kt, de ned for x2R;t>0, is called the fundamental solution of the heat equation on R a) Show that5 (Logan, 24 # 1) Solve the problem ut =kuxx, x >0, t >0, ux(0,t)=0, t >0, u(x,0)=φ(x), x >0, with an insulated boundary condition by extending φ to all of the real axis as an even function The solution is u(x,t)= Z ∞ 0 G(x −y,t)G(x y,t)φ(y)dy First note that the solution to the IVP ut = kuxx, −∞ < x < ∞, t > 0, u(x,0) = f(x), −∞R = r * 100 Calculate time, solve for t t = t = ln (A/P) / ln (1 r) = ln (A) ln (P) / ln (1 r) Example You want to know the annual return, or interest rate, you revieved on investment you made 2 1/2 years ago (30 months ago) of $50,000 that is now worth $58,400 Compounding occured annually


Introduction To Exponential Functions



Exponential Growth And Decay Examples Solutions Videos Worksheets Activities
Recall the formula for continually compounding interest, y = A e k t y = A e k t Use the definition of a logarithm along with properties of logarithms to solve the formula for time t t such that t t is equal to a single logarithmY = a(1 r)t Write exponential growth model = 609(1 )t Substitute 609 for a and for r = 609()t Simplify Using this model, you can estimate the world population in 05 (t = 5) to be y = 609()5 ≈ 646 billion b Use the table feature of a graphing calculator to determine that y ≈ 7 when t = 12 So, the world population was about 7 billion in 12Free solve for a variable calculator solve the equation for different variables stepbystep This website uses cookies to ensure you get the best experience By using this website, you agree to our Cookie Policy



9 1 Exponential Functions Ppt Download



Hw 5 Sols Pdf Chapter 22 Initial Value Problems Problem 1 Solve The Following Problem Over The Interval From X 0 To 1 Using A Step Size Of 0 25 Course Hero
The function is of the form y = a(1 r)t, where 1 r > 1, so it represents exponential growth Use the growth factor 1 r to fi nd the rate of growth 1 r = 107 Write an equation Solve for r = 007 r So, the function represents exponential growth and the rate of growth is 7% bIgnoring the effect of air resistance (unless it is a curve ball!), the ball travels a parabolic path Assuming the pitcher's hand is at the origin and the ball travels left to right in the direction of the positive x axis, the parametric equations for this curve can be written as x(t) = 140t, y(t) = −16t2 2tThe general approach to separable equations is this Suppose we wish to solve ˙y = f(t)g(y) where f and g are continuous functions If g(a) = 0 for some a then y(t) = a is a constant solution of the equation, since in this case ˙y = 0 = f(t)g(a) For example, y˙ = y2 −1 has constant solutions y(t) = 1 and y(t) = −1



Please Solve The Question 41 2 Cot T Andsinxz 1 41 Ifsiny X Sin A Y Then 4 Dr Math Differential Equations Meritnation Com



A Solve Laplace S Equation Delta 2 U X Y U X Chegg Com
3 T8R X → R X, T3 (P) = AP where A is a fixed polynomial in R X' Exercise 2 Let TR2 Rbe the linear transformation defined by T (x,y) = (a y, y y) 1Given an equation of the form y = A e k t, y = A e k t, solve for t t Divide both sides of the equation by A A Apply the natural logarithm of both sides of the equation Divide both sides of the equation by k k Example 6 Solve an Equation of the Form y = Ae kt Solve 100 = e 2 t 100 = e 2 tDetermine whether the following functions are linear transformations Also, is it possible that the composite of a linear transformation and nonlinear transformation becomes a linear transformation?



Solved I Would Like To Know About B I Have No Idea How T Chegg Com



Graphing Parabolas
Ira S answered • 02/14/17 Tutor 50 (298) Bilingual math tutor and much more See tutors like this See tutors like this I am assuming that you mean y= (14) t8 Using the laws of exponents, this equals 14 t * 14 8 This equals y = * (14) t1answer If sin (x y)(dy/dx) = 5 then (A) 5∫(dt)/(5 sint) = t x(where t = x y) askedApr 18, 19in Mathematicsby Ankitk(741kpoints) differential equations jee jee mains 0votes 1answer If x=a(costtsint) and y=a(sinttcost), then find d^2y/dx^2It is (use your calculator) (1/4)^(1/6) = = 1 r Hence, r = 1 = , or, rounding the value of "r" to the nearest tenthousandth, r = 0630 Therefore, your answer is y = 5*()^t



Exponential Growth And Decay College Algebra



Exponential Growth Decay Based Upon Time Periods Mathbitsnotebook Ccss Math
Solution Parameterise C by r(t) = (x(t),y(t) = (4 − t2,t), where −3 ≤ t ≤ 2, since −3 ≤ y ≤ 2 F= (y2,x) and dr= (dx,dy) Hence, Z C F· dr= Z C y2dx xdy = Z 2 −3 t2 dx dt dt− Z 2 −3 (4−t2) dy dt dt = Z 2 −3 −2t3 (4−t2)dt = 245/6 Example 53 Evaluate the line integral, R C(x 2 y2)dx(4xy2)dy, where C is the straight line segmentExample For arbitrary constants r and k, r ≠ 0, solve the equation y′ − r y = k We will proceed as before to rewrite the equation into equality of two derivatives Then integrate both sides ry k dt dy = Assuming r y k ≠ 0 dt ry k dy = → ∫ =∫ dt ry k dy Therefore, ry k t C r ln = 1 Simplifying ln ry k = rtThe characteristic equation is r2 5 r 4 = (r 1)(r 4) = 0, the roots of the polynomial are r = −1 and −4 The general solution is then y = C1 e −t C 2 e −4t Suppose there are initial conditions y(0) = 1, y′(0) = −7 A unique particular solution can be found by solving for C1 and C2 using the initial conditions



Exercises 1



How To Find Equations For Exponential Functions Studypug
To solve a formula for a specific variable means to get that variable by itself with a coefficient of latex1/latex on one side of the equation and all the other variables and constants on the other side We will call this solving an equation for a specific variable in general This process is also called solving a literal equationThe result is another formula, made up only of variablesUse this simple interest calculator to find A, the Final Investment Value, using the simple interest formula A = P(1 rt) where P is the Principal amount of money to be invested at an Interest Rate R% per period for t Number of Time Periods Where r is in decimal form;An equation for the depreciation of a car is given by y = A(1 – r)t, where y = current value of the car, A = original cost, r = rate of depreciation, and t = time, in years The current value of a car is $12,250 The car originally cost $,000 and depreciates at a rate of 15% per year How old is the car?


Graphing Quadratic Functions



Codepen Math App Project
Exercise 1 libear reason Which of the following transformation is 1 TR2R, T1 (x, y) = (1 y, 1 270);The function is of the form y=a(1 r)t, where 1 r> 1, so it represents exponential growth Use the growth factor 1 rto fi nd the rate of growth 1 r= 107 Write an equation Solve for r= 007 r So, the function represents exponential growth and the rate of growth is 7%Ira S answered • 02/14/17 Tutor 50 (298) Bilingual math tutor and much more See tutors like this See tutors like this I am assuming that you mean y= (14) t8 Using the laws of exponents, this equals 14 t * 14 8 This equals y = * (14) t


Www Usna Edu Users Oceano Raylee Sm223 Ch13 3 Stewart 16 Pdf



Exponential Growth And Decay Examples Solutions Worksheets Videos Activities
1 BASICCONCEPTS 4 (b) Suppose f 1(x,t) = sin(π(x −ct)) and f 2(x,t) = sin(3π(x ct)) both satisfy the wave equation ∂2u ∂t2 = c2 ∂2u ∂x2 and the boundary conditions u(0,t) = 0, u(1,t) = 0 for all t In addition, u 1(x,t) and u 2(x,t) satisfy the initial condition u(x,0) = sin(πx) and u(x,0) = sin(3πx), respectivelyIn the following exercises, solve Solve the formula 2x 3y = 12 for y (a) when x = 3 (b) in general;Y = a ( 1 r k) k t, where k is the number of times the interest is compounded per year So, plugging in your information gives y = 3750 ( 1 06 12) 132 = $ Share answered Jan 15 '15 at 129 onetoinfinity onetoinfinity 435 2


3



How To Find Equations For Exponential Functions Studypug
R = 4% = 004 t = 90 hours x ( t) = x0 × (1 r) t = 50× (1004) 90 = 1706 Exponent calculatorSolve for the time, t for (a) I = $624, P = $6,000, r = 52% (b) in general;P = C (1 r) t Continuous Compound Interest When interest is compounded continually (ie n > ), the compound interest equation takes the form P = C e rt Demonstration of Various Compounding The following table shows the final principal (P), after t = 1 year, of an account initially with C = $, at 6% interest rate, with the given



How To Find Equations For Exponential Functions Studypug



You Should Be Able To Solve Any Homework Tutorial Problem The Very Similar To Them The Formulae Below Will Be Appended
Ira S answered • 02/14/17 Tutor 50 (298) Bilingual math tutor and much more See tutors like this See tutors like this I am assuming that you mean y= (14) t8 Using the laws of exponents, this equals 14 t * 14 8 This equals y = * (14) tFV = PV(1 i) n R ( (1 i) n 1 ) / i where i = r/m is the interest paid each period and n = m × t is the total number of periods Numerical Example You deposit $100 per month into an account that now contains $5,000 and earns 5% interest per year compounded monthlyS OLUTION Let y represent the purchasing power and let t = 0 represent the year 19 The initial amount is $1 Use an exponential decay model = ( 1 ) (1 – 0035 ) t = 0965 t y = C (1 – r ) t y = 0965 15 Exponential decay model Substitute 1 for C , 0035 for r Simplify



Exponential Growth And Decay College Algebra


Http Www Peoriapublicschools Org Cms Lib2 Il Centricity Domain 1464 8th jan 18 Pdf
Example For arbitrary constants r and k, r ≠ 0, solve the equation y′ − r y = k We will proceed as before to rewrite the equation into equality of two derivatives Then integrate both sides ry k dt dy = Assuming r y k ≠ 0 dt ry k dy = → ∫ =∫ dt ry k dy Therefore, ry k t C r ln = 1 Simplifying ln ry k = rt2 T) R X R2 T (P) = (PO) P' (0));Determine whether the following functions are linear transformations Also, is it possible that the composite of a linear transformation and nonlinear transformation becomes a linear transformation?


U Osu Edu Garrett 425 Files 14 04 Recitation 10 Handout 19ajep4 Pdf



Differential Equations And Linear Algebra 2250 Name Scores
Ln 25 / 07 = t Divide ln 25 by 07 1980 ≈ t Round Exponential growth equation #1 – y = a(1 r) t ex Bob Industries bought a plasma for $2500 It is expected to appreciate at most 4% per year What will the plasma be worth in 2 years?P = C (1 r) t Continuous Compound Interest When interest is compounded continually (ie n > ), the compound interest equation takes the form P = C e rt Demonstration of Various Compounding The following table shows the final principal (P), after t = 1 year, of an account initially with C = $, at 6% interest rate, with the givenR and t are in the same units of time The accrued amount of an investment is the original principal P plus the accumulated simple interest, I = Prt, therefore we have A = P I = P (Prt), and finally A = P(1



Solved Problem 4 Let F R2 R Be The Real Valued Funct Chegg Com


Exponential Decay Functions Ck 12 Foundation
Solve for the time, t for (a) I = $2,376, P = $9,000, r = 44% (b) in general;U(x;t) = sin x 3 2 t The answer is immediately checked Exercise 3 (Strauss, Exercise 123) Solve the equation (1 x2)u x u y = 0 Describe its characteristic curves Solution We use the method of characteristics Let us rst rewrite the equation as u x 1 1 x2 u y = 0 1Solving it we get r = 3=4 as a repeated root, so the general solution is given by y(t) = c 1e 3t=4 c


Graphing Quadratic Functions


2
Solve the formula 5x 2y = 10 for y (a) when x = 4 (b) in general;Solve your math problems using our free math solver with stepbystep solutions Our math solver supports basic math, prealgebra, algebra, trigonometry, calculus and moreSolve Differential Equation with Condition In the previous solution, the constant C1 appears because no condition was specified Solve the equation with the initial condition y(0) == 2The dsolve function finds a value of C1 that satisfies the condition



Graphing Parabolas



Solved Creating A 2nd Order Function In Matlab Under The Chegg Com



Graphing Parabolas



Essential Skills Solve Problems Involving Exponential Growth Solve Problems Involving Exponential Decay Ppt Download



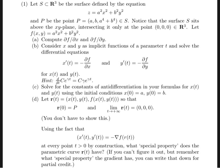
Solved 1 Let S C R3 Be The Surface Defined By The Equat Chegg Com



How To Find Equations For Exponential Functions Studypug



4 1 Exponential Functions And Their Graphs



L Earning T Arget 6d I Can Explain When A Situation Can Be Modeled By Exponential Growth Or Decay Solve The Problem And Interpret My Solution Within Ppt Download


2


2



Objective Solve Problems Involving Exponential Growth And Decay Ppt Video Online Download


2



Graphing Parabolas


2



Solved Solve For T Time In The Following Equation A P Chegg Com



Y C 1 G Whereby C Ac X As Xv 1 Chegg Com


Www Mayfieldschools Org Downloads Lesson 1 2 literal equations 2 answers Pdf


Q Tbn And9gcsvvxtcxxe7tenwsjje0nmivztankrwefyxe3qwacrrpautlw H Usqp Cau



Simple Interest Calculator A P 1 Rt


2



How Do You Write A Quadratic Equation In Intercept Form If You Have A Graph Printable Summary Virtual Nerd



Graph Exponential Decay Functions Lesson Ppt Download



Solve Nonstiff Differential Equations Medium Order Method Matlab Ode45



Graphing Parabolas



How To Find Equations For Exponential Functions Studypug



Find The Equation Of An Exponential Function College Algebra



Math 1525 Supplement Sheet For Lab 3



Exponential Decay Intro Video Khan Academy


Just 2 Words Today S Jumble Crossword Puzzle 2 Free Facebook


Cedwardsteach Weebly Com Uploads 4 3 2 5 2 7 Exponential Decay Pdf



What Is The Compound Interest Formula Robinhood


Search Q Exponential Decay Formula Tbm Isch



Misc 17 If X A Cos T T Sin T Y A Sin T T Cos T


Http Www Ozark K12 Mo Us Cms Lib011 Mo Centricity Domain 533 Doc Pdf



Exponential Growth Decay Based Upon Time Periods Mathbitsnotebook Ccss Math



Find The Equation Of An Exponential Function College Algebra



What Is The Compound Interest Formula Robinhood



Chapter 10 6 Exponentials Growth And Decay Standard Honors Ppt Download



Solved Bunter Was Asked To Solve The Following Maximizati Chegg Com


2


Solved Exercises Ou Ot 2 1 2 Solve The Partia Ilferential Chegg Com



Applying The Continuous Exponential Growth Model Pert Youtube



Finding Features Of Quadratic Functions Video Khan Academy



Solved Take Any Positive A B And R And Look At Clear Chegg Com



Compound Interest Calculator



Solved 1 Point For The General Solution Of The Differen Chegg Com



How To Find Equations For Exponential Functions Studypug



6 8 Video Lesson Exponential Growth Decay Youtube



Complex Number Wikipedia



Solving Literal Equations Algebra 1 Youtube



Exponential Growth And Decay College Algebra



Exponential Functions Mathbitsnotebook A1 Ccss Math



Warm Up Solve For X Log Ppt Download



Warmup Solve Log Ppt Download



Exponential Growth Decay Based Upon Time Periods Mathbitsnotebook Ccss Math


Q Tbn And9gcqpk11qgh68kfwbh3cpw2xluvar6cngota0ssdz1hltim6uqbbu Usqp Cau


N N S Cv Uzryz R Va N Y Y A Juaryz R N Chegg Com


This Problem Set Relates To Chapter 15 We Are Goi Chegg Com


Www Strongnet Org Cms Lib Oh Centricity Domain 990 9 3 guided notes key Pdf



Read Pages Ppt Video Online Download



Exponential Growth And Decay Mathbitsnotebook Ccss Math



Exponential Growth Decay Word Problems Video Khan Academy



Exponential Growth Calculator



Graph Exponential Growth Functions Ppt Video Online Download


Www Usna Edu Users Oceano Raylee Sm223 Ch13 3 Stewart 16 Pdf



Intro To Exponential Functions Algebra Video Khan Academy



Exponential Functions Mathbitsnotebook A1 Ccss Math



Graphing Parabolas



Verifying Solutions To Differential Equations Video Khan Academy


2



Solved Exercises 1 Say Why The Following Differential Sy Chegg Com



1 Consider The Boundary Value Problem For U R Y Chegg Com



Families Of Curves



Graph Exponential Decay Functions Ppt Download
コメント
コメントを投稿